AetnaLogo_white

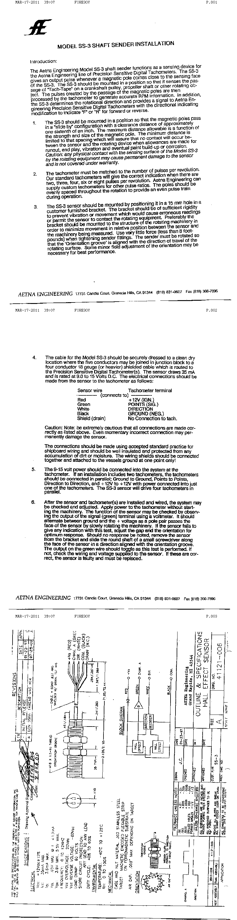
Aetna Engineering

Digital Tachometers Designed to Measure Precise Engine RPMs for Efficient Engine Performance.

Aetna Engineering was founded in Van Nuys, California in 1968. The first Aetna digital tachometers were used for “Predicted Log Racing.” Today Aetna Engineering is located in Grand Rapids, Michigan and Aetna’s digital tachometers are in use on boats, ships and in industrial applications worldwide.

Aetna Engineering’s digital tachometers are designed to measure precise engine RPMs for efficient engine performance. Every digital tachometer is guaranteed accurate to one RPM and provides for effortless synchronization of multiple engines, eliminating the need for a separate synchronizer indicator.

Engine Instrumentation and Control for:

Commercial Marine

Recreational Marine

Construction Equipment

Industrial Applications

Military Applications

Tachometers Unaffected By:

Salt Spray

Water

Sun

Temperature

Vibration

Aging

Designed to Operate in Rugged Marine or Harsh Industrial Environments...

All Aetna Engineering digital tachometers are unaffected by salt spray, water, sun, temperature, vibration or aging.

The non-magnetic construction uses only brass, stainless steel, and passivated aluminum hardware. Additionally, the gasketed glass to metal seal is impervious to moisture.

The digital tachometers are easy to install on gasoline or diesel engines, and can be used in a 12, 24 or 32-volt system. The self-contained unit is made to U.S. Industry Standard size and measures 3-1/8″ housing diameter and has a 3-5/8″ overall diameter at the bezel.

Aetna Engineering Product Specifications
Aetna Engineering Installation Instructions